带0.2 mm厚蒸汽室的超薄扁平热管的性能试验
南京航空航天大学史波教授团队和合作者,成功地设计、制造并测试了一种新型的76×46×0.2mm3有源蒸汽室的超薄扁平热管(ultra-thinflat heat pipe,UFHP)。
UFHP的创新点在于其厚度较薄,总厚度只有0.65mm,可以减少电子器件的散热空间,适应其日益紧凑的结构。
另一个创新点是支柱的设计,它被直接蚀刻在UFHP中,以避免超薄的腔室变形,并能提供液体回流的垂直通道。
测试结果表明,在不同倾角和不同充液速度下,UFHP的最佳运行功率为7.1-13.7 W。当填充率为1.05,倾角为90度时,其性能最好,平均热阻最小为1.15°C/W,输入功率从7.1W变到13.7W。当输入功率为15.9W,蒸发器温度为60℃时,垂直放置的UFHP传热性能良好,导热系数为800 W/m K。
介绍
电子工业技术的快速发展使得电子器件逐渐向高性能、小型化方向发展,但高性能的电子器件将伴随着更高的热流密度,使得在狭窄的空间内有效散热变得更加困难。据统计,50%以上的设备故障是由过高的电子表面温度引起的。
散热问题一直威胁着电子器件的性能,是制约大功率电子器件发展的瓶颈。扁平热管(Flat heat pipes,FHPs)因其传热效率高、导热性好,成为解决大功率电子器件散热问题的良好选择。通过FHPs,加热器散发的热量可以有效地吸收到蒸发段,然后输送到冷凝段,最后释放到外部环境。它不需要额外的能量操作,作为热管理设备,近年来获得了诸多领域的广泛关注,如移动电子,笔记本电脑,LED封装,太阳能收集器,飞机和航天器模块,热回收等。
在过去的二十年中,许多学者对不同结构、尺寸和材料的FHPs进行了制作和研究。

表1总结了研究人员对FHPs及其器件性能的研究情况。
Chen等人设计并制造了一种8毫米厚的铜丝粘合FHP。上板为聚碳酸酯保温板,下板为铜板。两块板之间夹着一串平行的铜线。试验结果表明,该结构具有较低的热阻和较大的输入功率。Nagayama和他的同事开发了一种沟槽会聚微通道,并优化了沟槽尺寸以提高FHP性能。理论分析和实验研究表明,与直微通道相比,收敛微通道FHP具有更好的传热性能和毛细性能。Chen和同事设计了一个2毫米厚的铝FHP,制备了表面功能化微球,实验结果表明,其最大传热能力为160w。
他们对FHPs的研究是基于常规厚度的热管。主要目的是改善其内部结构或外壳材料,以提高FHPs的性能。
但随着电子器件向集成度高、性能好、重量轻的方向发展,电子元器件散热空间有限,传统FHPs已不能满足其使用需求,促使FHPs向超细方向发展。UFHPs通常是指总厚度不超过2mm的热管。
UFHPs形状灵活可调,厚度更薄,更容易与传热面实现良好接触,获得高效传热。最近,人们对开发用于越来越紧凑、薄的电子设备的UFHPs产生了极大的兴趣。
在过去的几年里,许多学者对UFHPs进行了研究。2011年,Oshman等人设计了一种基于聚合物的FHP。该设备有一个1毫米厚的蒸汽核心,以一个铜微柱/编织网混合结构作为芯。实验结果表明,有效导热系数在650 ~ 830 W /mK之间变化。2012年,Oshman等人对一种结构类似于先前原型的扁平聚合物热扩散器进行了研究。结果发现,在0 g时,有效导热系数最高可达1653 W /mK,在10 g时最高可达541 W/mK。同年,Oshman等人利用聚乙烯对苯二甲酸酯层压片,铝和聚乙烯层作为外壳,铜编织网作为灯芯结构,粗尼龙编织网作为支撑结构的蒸汽核心,制作了扁平热管。研究发现,热管的热阻随工作条件的变化在1.2 ~ 3.0 K/W之间。
Li和同事提出了一种新的双侧拱形烧结芯来提高1.0-1.5mm厚 UFHP的热性能,结果表明,最大传热能力可达25W。Lee等人开发了0.9 mm厚的铜UFHP,采用纳米超亲水性表面的一层铜编织网作为毛细管芯,蒸汽室采用未经表面处理的三层粗网作为支撑。结果表明,纳米结构的超亲水性表面可以显著提高超亲水性树脂的传热性能。
为了提高1.1 mm厚UFHP的性能,Zhou课题组开发了一种双孔螺旋编织网芯,双孔灯芯是由直径分别为0.04 mm和0.05 mm的铜丝束混合编织而成。实验结果表明,双孔灯芯同时具有较高的渗透性和较大的毛细力,最大传热能力为24 W。
上述文献对UFHPs的研究多集中在0.7-1.5 mm厚度。然而,目前对厚度小于0.7 mm的扁平热管研究还很少。与传统FHPs相比,UFHPs的超薄外壳使其焊接和封装工艺更加困难。如果壳体厚度过薄,在包装过程中可能会出现焊接变形或焊接损伤的现象,导致蒸汽室空间的破坏和其性能的退化。此外,当UFHPs厚度变薄时,其最大传热能力将大大降低,热阻将显著增加。因此,设计制造一种厚度更薄、传热性能更好的大功率电子器件用UFHP具有重要意义。
为了解决这一问题,本文提出了一种新型的蒸汽室厚度为0.2 mm的UFHP,并对其进行了测试。本研究的重点在于UFHP厚度很薄,可以节省电子器件的散热空间。为了防止由于外力引起的变形,我们创新性地改进了UFHP的内部结构。在蒸汽室中设置一定数量的支承柱,以保证蒸汽通道。本工作的主要目的是测量这种新型的带支撑柱的UFHP的传热性能,发现0.6 mm厚UFHP的导热系数为800 W/mK。研究结果对研制厚度更薄、结构强度稳定、传热性能更好的UFHP具有重要意义,可用于今后的电子器件中。
UFHP的设计和制造
设计
本文设计制作的UFHP主要由毛细芯、光滑上铜箔和下铜箔三部分组成。拆分结构图如图1所示。

UFHP外部长80毫米,宽50毫米,厚0.65毫米,内蒸室尺寸为76×46×0.2mm3。在上部铜箔的内表面压入一层200#铜丝网,网线直径为0.051 mm,间距为0.076 mm,作为毛细管芯。200#是指钢丝网1英寸×1英寸区域内的孔数。因此,我们可以用更薄的厚度来制作更灵活的UFHP。UFHP很薄,在外力作用下容易变形,如果变形明显,则可能导致超高压蒸汽室空间被压缩。因此,在上部铜箔的内表面,蚀刻出规整的六角形的柱子来支撑蒸汽室。大尺寸的立柱或大量立柱均表现出良好的支撑效果,但可能导致蒸汽流动空间小得多。因此,在柱的设计阶段,利用仿真软件进行数值模拟。在蒸汽空间不受变形影响的前提下,同时也能保证足够的蒸汽空间。柱的直径和中心之间的间距最终设置为1 mm和3 mm,并以正六角形排列,如图2(a)所示。

制作UFHP的过程中,为了方便在充液时夹紧UFHP,在铜箔的右侧延伸出填充平台,在较低的铜箔中间蚀刻出宽度为2mm、深度为0.2 mm的注液通道。
制造
超薄FHP的制作包括上部铜箔的制作、毛细管结构和下部铜箔的制作。上铜箔的制作和毛细结构非常简单,根据热管的大小直接切割而成,然后将毛细结构均匀地压在上铜箔的内表面。下铜箔的制作较为复杂,光学半导体刻蚀工艺的主要步骤是旋转涂膜、预焙、掩膜曝光、反烘、泛曝光和湿法刻蚀。因为AZ5214光刻胶的变形速率和膨胀速率都低于其他负胶,所以,我们选择AZ5214光刻胶,并在铜箔表面旋涂1.5µm厚度。
刻蚀温度和刻蚀时间对刻蚀深度和刻蚀质量有较大影响。因此,蚀刻工艺需要严格控制。下铜箔的最终蚀刻如图2(b)所示。
在组装之前,需将UFHP组件表面的油、杂质和氧化物清除干净,然后用真空扩散焊焊接在一起。UFHP的焊接主要包括上铜箔内表面毛细芯的焊接和UFHP的装配焊接两个步骤。将200#铜丝网和0.2 mm厚的光滑上铜箔一起焊接到石墨模具中,然后将模具放入真空热压炉中,锁紧设备,真空至10−3pa。在扩散焊接过程中,焊接温度、油压和焊接时间对焊接质量都有很大的影响。在热压炉控制面板上设置焊接温度、油压和焊接时间。
焊接程序完成后,炉膛冷却,产品取出。UFHP的组装焊接与毛细管芯的焊接工艺相同。上铜箔焊接毛细管芯,下铜箔蚀刻后放入根据UFHP尺寸定制的石墨模具中。然后将模具放入炉内,真空至10−3pa,设定焊接温度、油压和焊接时间。当热管焊接成功后,为了保证UFHP在运行过程中的可靠性,需要在抽真空和注液前对其进行泄漏检测,以确保无泄漏。然后对UFHP进行吸尘和注射。注液时选用南京爱可美热能科技有限公司生产的高精度真空灌装设备,精确控制注液量。为了保证实验数据的准确性,最好选用相同的UFHP进行测试。此外,由于UFHP充液槽的尺寸很小,尝试了多种密封方法,实现其密封非常困难。因此,为了方便UFHP充填后的密封,我们设计了一种与高精度真空充填设备相匹配的充填密封装置。
该充填密封装置安装在UFHP上,UFHP先在充填槽内开一个小孔,然后与充填装置一起安装在高精度真空充填设备上。首先,将UFHP预抽真空至10−1 pa,以减少热管内的不凝气体,其微小的变化都会对热管的性能产生很大的影响,然后进行第二次真空处理。当高真空表显示的真空度低于10−3 pa时,真空过程就完成了。
最后,以一定的液体填充率将去离子水填充到UFHP中。灌装过程完成后,拧紧灌装密封装置上的螺栓,螺栓控制的出料控制阀即可快速关闭,并相应的对UFHP灌装槽进行密封。在实验过程中,填充密封装置始终处于热管上,以便于同一UFHP在任何时刻都能方便地进行充液,研究不同填充率和倾斜角对其传热性能的影响。填充槽密封后,完成UFHP的制作。
实验
实验装置
实验装置的原理图和实物图如图4、5所示。为了保证热输入的均匀性,UFHP的蒸发段采用接触截面积为15×15mm2的加热铜块进行加热。加热铜块的底部由单端插装式加热器加热,加热器连接直流电源进行控制变量的输入功率。冷凝段采用水冷铜块冷却,接触截面积为30×30mm 2。其进水口和出水口均与恒温水浴相连,控制恒温水浴速度为80 ml min−1,水温为25℃,与环境温度相同。加热铜块与UFHP、加热铜块与筒式加热器、水冷铜块与UFHP之间涂有热脂,以降低接触热阻。为了准确定位UFHP的位置,设计了实验框架,如图4所示。框架四周采用保温塑料板作为外围骨架,底部采用开槽保温胶木固定加热铜块。框架内剩余的区域填充了大量的保温棉。在测试过程中,整个框架也进行了热绝缘,用厚绝缘棉包裹,以减少热损失,如图所示。


UFHP的工作原理与传统热管相同。它是利用内部工作液的气液相变和蒸汽的连续流动来传递热量,依靠毛细管芯提供的毛细管力将液体从冷凝段抽回蒸发段的无源装置。沿UFHP轴向长度,根据其传热原理可分为蒸发段、绝热段和冷凝段,如图6所示。在蒸发段、绝缘段和冷凝段设置有若干热电偶来测量温度。

充填量计算
UFHP的厚度很薄,充液量的微小变化会对其性能产生很大的影响。充液率φ通常用来测量热管内的充液量,它是指液体流动时充液量与毛细管芯体积的比值,即充液量V0与毛细管芯孔隙体积V的比值,可以定义为:
![]()
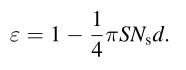
通过计算毛细管芯的孔隙率,可以间接地得到毛细管芯的孔隙体积。孔隙率是毛细管芯的孔隙体积与总体积之比。其表达式如下:

其中,S为金属丝网的卷曲系数,其值为1.05,Ns为金属丝网的个数,d为金属丝网的直径。那么本文选取的200#铜网孔C1020的孔隙率为66.9%,由上述公式计算得到。毛细管芯V的孔隙体积为:
![]()
根据UFHP内部毛细结构Vs的体积及其孔隙率ε,计算出毛细芯V的孔隙率为0.468ml,得到理论填充量V0为:
![]()
理想情况下,毛细管芯中的空隙完全充满液体,即液体填充率为1。实际上,在毛细芯的拐角处会有一个液体不参与流动的死区,充液管道上也会发生液体损失。这将导致液体填充率大于1。
不确定度分析
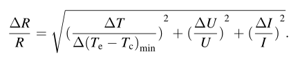
本文用于测量UFHP传热性能的热阻如下:
![]()
这里,Te和Tc分别是蒸发段和冷凝段的温度,Q表示来自直流电源的输入功率,并且可以用Q=UI-Qloss来表示。Qloss是指机械支架/部件通过绝缘棉与周围环境之间的热损耗。
为了估算热损失,当最大输入功率为20.2 W时,我们测量绝缘棉的表面温度,发现其表面温度约为26度,只有一小部分绝缘棉接头面积达到27.6度。根据热对流和热辐射的公式,计算出热损失为0.89 W,约为20.2 W的4%。当输入功率减小时,热损失减小,因此在计算输入功率和进行误差分析时忽略了热损失。
根据Taylor描述的误差分析公式,热阻的相对不确定度表示为:

本研究采用的直流电源为MP1205D,电压精度为0.1V,电流精度为0.01A。实验过程中使用的最小电压和电流值分别为5.6V和0.39A。因此,电压和电流的最大相对误差可分别计算为1.786%和2.564%。
热电偶的误差主要包括热接触点的质量误差、热电偶的测温误差和数据采集仪的显示误差,数据采集仪的显示误差非常小,精度为0.01%。对于温度测量来说,热电偶和超热电偶之间热接触的质量是至关重要的。但由此产生的误差是不可避免的。我们只能尝试改善热接触条件,使误差最小化。
当热电偶固定在UFHP表面时,在热电偶的接触端子上涂上足够的热脂以降低接触热阻,然后用高温胶带固定。因此,在分析热电偶误差时,认为热接触误差很小,忽略了其影响。最低校准温度为25℃,本文使用的TT-K-30热电偶的平均校正误差在0.2℃以内,因此k型热电偶的最大不确定度为0.8%。蒸发与冷凝器稳态温差的不确定度为7.615%。因此,由上述公式计算的热阻不确定度为8.231%。
结果与讨论
在实验过程中,将毛细芯烧结的壳体置于加热块和凝结水块的上表面以下。在输入功率为2~21W的情况下,分析了倾角(0、45、90度)和填充率(0.9、1.05、1.2)对UFHP热性能的影响。测试了在不同输入功率下的超自动机的启动特性。最后,在相同的工作条件下,将UFHP与相同尺寸和厚度的固体铜片进行了比较,以表征其传热能力。
倾角对性能的影响
图7对比了不同操作下UFHP的传热性能,倾斜角度(0、45和90度)和加热能力(4-21W)。图7 (a)显示了轴向温度分布的UFHP表面,3-18 mm是蒸发部分,18-38mm是绝热部分和38-68mm是冷凝部分。定义距离的坐标系如图6所示,坐标原点位于内活动蒸汽室的边缘。可以看出,在不同的倾角和输入功率下,UFHP的表面温度从蒸发段降低到冷凝段。而随着加热功率的增加,温度会略有升高。当加热功率较低时,不同倾角的UFHP表面温度几乎一致。当它增加到适当的功率时,如倾斜角从0度增加到90度,UFHP表面温度明显降低。这说明工作倾斜度对热管性能有很大的影响,重力能有效地辅助液体回流。此外,从图7(a)可以看出,温度分布是不均匀的,在热管实验中出现这种现象可能有三个原因。


首先,在真空过程中,不凝气体没有被充分排出,在凝汽器端可能发生堵塞,导致凝汽器温度和阻力过低。其次,凝汽器由于0.2 mm的蒸汽管道较薄,可能会出现水的堵塞。第三,与薄的蒸汽管道相联系的蒸汽流动阻力可能会引入大的蒸汽压降、回火温差和热阻。如图7(b)所示,蒸发段和冷凝段的平均温度分别随加热功率的增大而增大。
两者的回温温差也如预期的一样变大,因为随着加热功率的增大,蒸汽核心区域的蒸汽流速增大。另外,蒸发段和冷凝段的平均温度也随着倾角的增大而减小。
当UFHP横向放置,加热功率为13.7W时,测点的温度在蒸发器中心(点距离原点10mm)是高于蒸发器边缘(点距离原点3mm),如图7a所示,表明可能部分烧坏了。继续增加加热功率至17.9 W,蒸发段与冷凝段之间的坡度突然变陡,温差更加明显。结果表明,在13.7 W功率下,热管出现干化现象。如图7(c)所示,当加热功率大于13.7 W时,水平放置的UFHP的热阻随着功率的增大而逐渐增大,达到传热极限。UFHP的热阻随加热功率的增大先减小后增大。在不同的工作倾斜角下,UFHP的最优工作功率为7.1-13.7 W。当倾角为90°时,UFHP的热阻为最小值,平均热阻最低为1.15°C/W。
填充率对性能的影响
图8为不同充液率(0.9、1.05、1.2)下UFHP的温度分布及热阻。相似之处,不同填充率下UFHP的温度分布规律与图7一致。太多或太少灌装速度会导致较差的热管传热性能,如图8(a)所示,UFHP的温度与液体灌装的0.9和1.2是几乎相同的不同应用下的权力,和他们都高于1.05填充率。由图8(a)和(b)可知,当施加的功率不超过7.1 W时,填充率对UFHP温度的影响很小。在相同输入功率下,填充率为1.05的表面温度比填充率为0.9和1.2的表面温度下降最多5℃。而当功率大于13.7 W时,填充率对UFHP温度有显著影响。在相同的加热功率下,填充率为1.05的表面温度比填充率为0.9和1.2的表面温度至少低10°C - 15°C。图8(c)所示的热阻图也说明当填充率为1.05时,热管的热阻最低,说明1.05为最优填充率。此外,在7.1 ~ 13.7 W功率范围内,平均热阻约为1.2℃/W。
垂直放置时UFHP的启动行为
由以上分析可知,当充液率为1.05且工作倾斜角为90度时,UFHP的启动性能最佳。因此,本节对填充率为1.05、倾角为90度的UFHP的启动行为进行研究,如图9所示。在环境温度下加热后,UFHP的温度迅速升高。当UFHP启动时,在环境温度下加热后,UFHP的温度迅速升高。当UFHP启动时,温度逐渐稳定并维持在某一水平。蒸发段与冷凝段温差很小,完成了UFHP的启动。可以发现,在不同的加热功率下,UFHP具有不同的启动特性。随着加热功率的增加,热管的整体温度会升高,启动速度会加快,启动时间会缩短。UFHP的冷凝区启动过程与蒸发区相似,但时间上存在延迟。此外,蒸发段的升温速率要快于冷凝段。因为,蒸发区首先吸收热量,它启动后,热量通过蒸汽流慢慢转移到凝结区,然后凝结区开始启动。

与铜板的比较
为了验证本文所研制的UFHP的传热性能,在相同的工作条件下,将热管的启动性能与相同尺寸、相同厚度的铜片进行了比较。如图10所示。式中(a)为热管与铜片的蒸发段(Te)和冷凝段(Tc)随时间的温度,(b)为由热阻公式计算出的等效热阻的动态变化曲线。从图10(a)可以看出,在相同的运行条件下,UFHP的蒸发段和冷凝段的温差要比铜固板小得多,启动时间更短,稳态达到的时间更早、更快。

在热管启动前,温差随时间逐渐增大。当温差稳定在一个固定的温差时,热管完全启动。但是,蒸发器的温度和铜固体板的温差会随着时间的增加而增大。在4500 s左右,UFHP的最大温差约为17℃,而相同工况下的铜固体板的最大温差约为33℃,约为热管的两倍。从图10(b)中还可以看出,在4500 s时,固相铜板的等效热阻大约是热管的两倍,说明UFHP的传热性能要强于固相铜板。铜片的导热系数为401 W/mK。也就是说,这种新型UFHP的导热系数高达800 W/mK,输入功率为15.9W,垂直放置时蒸发段温度为60°C。
结论
本研究成功地研制了一种新型结构UFHP。外尺寸为80×50×0.65mm3,内气室尺寸为76×46×0.2mm3。在UFHP中蚀刻了大量的支撑柱,作为蒸汽室的支撑。通过实验测试,主要结论如下:
(1)在适当的加热功率下,当倾角在0 ~ 90度范围内变化时,对UFHP的性能有明显的影响。当填充率为1.05时,在不同工作角度下,UFHP的最优运行功率为7.1-13.7 W。当倾角为90°时,其最小平均热阻为1.15°C/W。
(2)液体填充率为0.9和1.2的UFHP在不同功率作用下的温度分布几乎重合,且温度均高于填充率为1.05的UFHP。最佳充液速度为1.05。在7.1-13.7W功率范围内,平均热阻约为1.2℃/W。
(3) UFHP在不同加热功率下的启动性能不同。加热功率越大,启动速度越快,启动时间越短。UFHP的冷凝区启动过程与蒸发区相似,但时间上存在延迟。
(4)在相同的运行条件下,与纯铜板相比,UFHP的启动时间更短,稳态达到的时间更早,速度更快。垂直测试时,新型UFHP的等效热阻高达800W / mK。证明了制备超薄、高导热的热管的可能性。
信息来源:Journal of Micromechanics and Microengineering 感谢原文作者,文献翻译仅供学习交流,如有错误欢迎指出改正!










