信息来源:Nature

自 Wiedemann 和 Franz 的关键测量以来,电子热输运一直是材料研究的核心。在低维系统中,如二维量子材料和一维纳米线中,电子相互作用效应(包括自旋)得到增强,降维、强相互作用和拓扑的结合导致了越来越多的多体量子现象。热输运对所有携带能量的自由度都很敏感,它为量子材料和器件中涌现激发提供了一种鉴别性探针,热输运实验对于阐明这些材料的性质具有直接意义。随着一维和二维材料技术的日益成熟,需要对电子能量传输和耗散特性进行实验探索,而不需要考虑其他自由度。但对于低维材料,例如二维范德华单层、一维纳米管和分子结,热输运测量是由晶格的声子贡献主导,获得电子热输运具有挑战性。通过实施特定于研究系统的电子测温,电子热输运已在一些介观系统中成功隔离,特别是量子霍尔系统、单电子晶体管和原子接触。仍需要一种在低维材料系统中实现定量隔离电子热导贡献的实验方法。
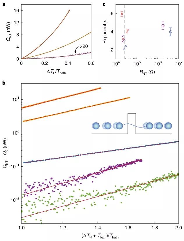
哈佛大学Philip Kim教授研究团队,以“Electronic thermal transport measurement in low-dimensional materials with graphene non-local noise thermometry”为题在《Nature Nanotechnology》期刊发表研究成果,研究者们测量了多终端器件中的非局部电压波动,以揭示由低维材料制成介观桥的电子热传输。使用二维石墨烯作为噪声温度计,测量了高达 70K 的石墨烯和碳纳米管的定量电子热导,在 5K 时实现了约 1% 的热导量子的精度。利用线性和非线性热输运,观察到一维电子系统中由长程相互作用介导的能量输运特征,与理论模型一致。

多终端器件中的非局域噪声测温

石墨烯的电子热导

碳纳米管的电子热导

碳纳米管中的非线性热传输
研究者证明了由电子热输运引起的非局域电压波动的测量。使用石墨烯噪声温度计,在二维范德华、一维纳米管和零维局域系统中进行了一系列高灵敏度电子热传输实验,在这些实验中,作者们观察了能量传输中的相互作用效应。此文方法能够在以前无法实现的各种低维系统中研究电子热输运。










