0 、背景介绍
随着电子行业近些年的快速发展,对电子器件的要求越来越高。为了满足使用要求,这些器件的功耗大幅提高,而这导致了这些器件工作时的发热量急剧增加。当半导体元件的温度高于其正常工作温度时,会造成可靠性的下降,直接影响其能耗比、灵敏度和噪声系数等重要性能。因此如何进行高效可靠的散热成为了当今电子行业研究的热门话题。

热管理材料是当前5G射频芯片、无线充电、印刷线路板等领域最为有效的散热材料之一。它能够高效地传导电子产品工作时产生的热量,从而提高电子产品的可靠性,预防由温度过高造成的元器件失效问题。高的导热系数是热管理材料必须具备的重要特性。

梅特勒托利多差示扫描量热仪DSC
想要测量导热系数,除了使用导热仪,也可以使用常见的热分析仪器DSC。DSC的优势在于,既可以测量材料的导热系数λ,也可以测量材料的比热容cp,在知道材料的密度ρ时,就能得到材料的热扩散率α = λ/(ρ× cp),它表示物体在加热或冷却时温度趋于均匀一致的能力,也是材料的重要特性之一。
在这里为大家介绍如何通过DSC来快速测量导热系数。
一、实验介绍
在本实验中,使用形状为圆柱体的样品进行测试。测试时,在参比端放置空的参比坩埚;在样品端则会直接在传感器上放置待测量导热系数的圆柱体样品,然后将与参比坩埚同类型的样品坩埚放置在样品之上,再在样品坩埚里放入熔点Tm已知的纯金属。这里,我们使用梅特勒托利多20μl轻质铝坩埚。为了实现热阻的最佳再现性,样品坩埚与样品之间、样品与样品端传感器之间、参比坩埚与参比端传感器之间都涂上了导热油,以保证各表面间的完全接触。

图1 DSC测量导热系数的示意图
图1是通过DSC测量导热系数的示意图。图上h是圆柱体样品的高度;φ是流入样品的热流;Tm是金属的熔化温度;Ts是样品端温度;Tr是参比端温度;红色直线是导热油。
那么这个测试是如何得到导热系数的呢?再让我们一起来了解相关的理论背景:
在静态条件下,通过热阻为Rs的物体的热流φ与温差ΔT成正比:
(1)
材料的热阻Rs由材料的热导率和几何形状决定:
(2)
其中λ是材料的导热系数,A是样品的横截面积,h是样品的高度。
通过等式(1)与等式(2),我们可以得到:
(3)
等式(3)仅在金属熔化期间成立。其中,ΔT是时间为t时的样品温度Ts与金属熔点(即金属开始熔化的温度,取onset值)之间的差值;热流φ是时间为t时的样品热流与金属开始熔化时的热流之差(见图2)。

图2 DSC测量PMMA导热系数的曲线
图2中,红色曲线代表PMMA样品的热流与样品温度(Ts)之间的关系;黑色实线代表样品温度与测试时间的关系;黑色虚线代表参比温度与测试时间的关系。
由此,可在等式(3)的基础上得到:
(4)
根据图2,能看出S就是金属熔化峰线性区域的斜率。
结合等式(3)与等式(4),能得到用DSC测量一次样品获取导热系数的公式:
(5)
实际上,在样品端从传感器到纯金属的热流不仅取决于样品本身的热阻Rs,还取决于传感器-样品界面(R1)和样品-金属界面(R2)的热阻,所以公式(5)虽然只需进行一次放置样品的测试,但结果往往不够准确。
由此,等式(1)应该改写为:
(6)
如果样品的横截面积,也就是传感器-样品界面(R1)和样品-金属界面(R2)是保持不变的,那么就可以假设R1、R2与样品无关:
(7)
RT可通过多次测试得到,如果RT比Rs小得多,甚至在计算时可以忽略RT对测试的影响。
结合等式(2)、等式(4)、等式(6)与等式(7),我们可以得到:
(8)
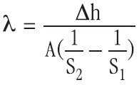
当我们使用两种不同高度但材料相同的圆柱体样品进行测试,就能得到通过DSC测量导热系数的公式:
(9)
其中Δh是两个圆柱体样品的高度差,A是样品的横截面积(测试中两个圆柱体样品的横截面积应保持一致,且与坩埚底部相同),S1是高度较低样品通过DSC测试得到的金属熔化峰斜率,S2是高度较高样品通过DSC测试得到的金属熔化峰斜率。
在实际测试中,我们并没有使用两种高度不同的样品进行测试,而是简化成放置样品进行测试得到S2,以及不放置样品进行测试得到S1。
纯金属镓的熔点是29.8℃,非常适合用在此实验中来测量室温下材料的导热系数。其他温度下的导热系数测试需要不同的金属标样,比如铟In或者其他纯的有机物质。由于镓容易与铝发生反应,因此在使用铝坩埚时,还要在坩埚内表面涂上保护漆(10-30μm)。
为了保证测试数据的准确与稳定,建议制备的样品高度在1-3mm之间,其直径应与装有纯金属的坩埚底部相同,还要用细砂纸仔细打磨样品的上下表面。
设置温度程序时,使用较低的加热速率(0.5 K/min)可减小样品上的温度梯度。如果选用金属镓,可以使用如下的温度程序:以0.5 K/min的速度从28 ℃加热至38 ℃,然后以10 K/min的速度冷却至-5 ℃,这样可以确保测量后金属能够再次凝固从而重复使用。气氛可选用50mL/min的氮气,防止测试过程中镓发生氧化。
上述通过分别进行放置样品与不放置样品的两次测试来得到材料导热系数的方法与2021年发布的国际标准“ISO 11357-8:塑料-差示扫描量热法-导热系数的测定”中的内容基本一致,仅在建议的温度程序、每种样品的测试次数、样品的尺寸大小等内容上有些微的区别。

表1 通过DSC测量的导热系数与文献值的对比
我们按照以上介绍的方法,分别根据只需一次测试的公式(5)(λ Direct)与需要两次测试的公式(9)(λ Difference)测量了11种聚合物的导热系数,并与文献值进行了对比。可以看到两次测试得到的导热系数与文献值更为接近,其值平均只比文献值低约4%(表1)。因此,我们认为两次测试的方法,即分别放置样品与不放置样品进行测试来得到导热系数是可靠有效的。
二、总结
对于需要测试热管理材料的导热系数的客户,可以使用DSC来进行测试,这是一种既便捷又准确的方法,能够帮助您高效完成研发以及品控等工作。










