一、 软件界面:

1、 软件分几个区域,最上面基础数据区,需要填入第一、二行的六个基础数据,有产品的长宽高,和玻尔兹曼常数,辐射率,和环境温度。第三行是根据长宽高,自动计算出来上下表面积,竖直表面积,和整个产品的面积
2、 软件中间,是三个常用的自然散热计算方法区域。需要输入外壳平均温度,和对流换热系数(方法1/3)
3、 最下面区域,是计算区,也可以复位,复位保留了一些基础数据,可以快速修改后再计算。还有一个链接,点击后可以在热管理网上对软件的使用大家进行交流讨论,或者给我们提出建议进行更新优化。
二、 计算方法三
先从最简单的方法三介绍,
1、 输入数据:对流换热系数,自然对流一般在3-10W/m2K的范围,软件默认设为5,外壳平均温度这里默认为90度,这两个自己可以修改。软件会根据基础数据里的环境温度计算出温差。
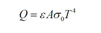
2、 辐射换热量计算公式:

式中: ε —— 物体的表面黑度(表面辐射率);
σ0 —— 斯蒂芬—玻尔兹曼常数,5.67×10-8 W/(m2•K4);
A —— 辐射表面积,m2;
T —— 物体表面的热力学温度,K。
3、 对流换热量计算公式:

式中: h —— 对流换热系数,W/(m2•℃);
A —— 对流换热面积,m2;
tw —— 热表面温度,℃;
tf —— 冷却流体温度,℃。
4、 总体解热量 = 辐射换热量 + 对流换热量
三、 计算方法一
计算方法一就是方法三的扩展版,方法三中是外壳平均温度,对流换热系数都是各面一个值,但是方法一可以分别设置上、下和侧面的温度、对流换热系数。
计算方法都同方法三,额外加了热流密度,功率密度计算。
四、 计算方法二
计算方法二,是工程近似估算公式:

式中: QT —— 密封机箱表面散热量,W
Qconv —— 自然对流散热量, W
Qrad —— 辐射散热量,W;
Ss,St,Sb 机箱侧面,顶面,底面有效面积 m2
S = Ss + St +Sb
ε —— 物体的表面黑度(表面辐射率);
σ0 —— 斯蒂芬—玻尔兹曼常数,5.67×10-8 W/(m2•K4);
Tm = 0.5(T+Ta)
T —— 机箱表面温度,℃
Ta —— 环境温度,℃
ΔT —— 机箱的温升值 (T - Ta),℃
五、 交流与建议
欢迎访问热管理网https://www.reguanli.com/bbs/44130.html 进行交流讨论。也可以获取软件更新,和后续发布更多其他热管理软件动态。如有更多建议,请加热管理网客服 reguanli888 微信交流。











1111
很不错的软件
😂权限不够,权限够了再来,
很不错的软件
实用
666
😍
加油
很不错的软件,感谢分享
1166666