由中国热管理网发布的《热管理软件V2.1》计算工具,包含密封自然散热计算、非密封自然散热计算、流体计算、流速流量转换、噪音计算、风扇与转速关系计算、界面材料计算、热流/功率密度计算、自然对流换热系数计算、散热器计算等9种计算工具。
单位转换模块可以进行各种单位转换,内置了压力、体积流量、质量流量、传热系数、导热系数、热流密度、比热容、动力粘度、运动粘度等基础热管理单位。
另外软件还带有材料库功能,包括 固体材料、液体材料、气体材料、公共风扇库、自定义风扇库等功能。
软件还在逐渐更新中,欢迎大家下载使用。
热管理计算工具软件是散热设计工程师的必备软件,是散热工程师的小帮手。
软件主界面
今天介绍一下热管理软件中的噪音计算页面,主要有噪音相减,噪音均分,噪音叠加三个功能:

噪音计算
在介绍噪音计算之前,先大概了解一些声学基础知识:
声强:当声波向前传播时,声波的能量也随之传递。在声波传递方向上单位时间内垂直通过单位面积的平均声能量,称为声强。
声功率:是指声源在单位时间内辐射的声能量。
声压:就是大气压受到声波扰动后产生的变化,即为大气压强的余压,它相当于在大气压强上的叠加一个声波扰动引起的压强变化。
声压级:为了能够较为明显地区分和反映声压的大小程度,采用声压级来表征声压,用以衡量声音的相对强弱。
一、噪音相减:
计算公式:

Lps:被测对象真实声压级
Lp:背景噪声和被测对象总声压
LpB: 背景噪声
举例:总声压104dBA,背景噪声100dBA,则减出来被测对象真实声压级101.79dBA
二、噪音均分:
计算公式:

Lpi:单个对象声压 ,Lp:总声压 , N:均分个数
举例:总噪音55dBA,3个风扇工作,那单个风扇需小于50.22 dBA
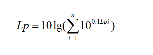
三、噪音叠加:
两个以上独立声源作用于某一点,产生噪声的叠加。声能量是可以代数相加的,设多个声源的声功率分别为W,W₂,…,那么总声功率 W总=W1+W2+...。
而多个声源在某点的声强为I1,I2,..,叠加后的总声强:I=I1+I₂+.…。但声压不能直接相加。
计算公式:

Lpi:单个对象声压 ,Lp:总声压,N个对象。
举例:单个对象声压分别为50,60,58,58dBA,则总噪声64.11dBA
另一种按图查表方法计算:
当声压级不相等时,按上式计算较麻烦。可以利用图或表查值来计算。
方法是:设Lp1>Lp2,以 LP1-LP2值按图或表查得△Lp,则总声压级Lp总 = Lp1+ ΔLp。


举例:单个对象声压分别为100dBA,85dBA,则 ΔLp=Lp1-Lp2=15dB,查表或图得ΔLp’=0.1dB,Lp=Lp1+ΔLp’=100.1dB
相关文档:











