本文详细介绍JEDEC热值参数的定义,测量及应用,供参考。
1、热参数测量位置定义
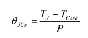
用于确定热值的温度测量位置如图所示,Junction表示在用于测量的芯片中温度敏感器件的位置 [2]。用户应用芯片可能会从该代表性结点到热点结点产生额外的温升。θJCx 是结到外壳的热阻。“x”表示测量 TCase 的外壳表面,在 θJCx 测量过程中热量被迫流经该表面,“top”表示顶面,“bot”表示底面。使用的表面通常是封装主要传热路径中的表面,通常是封装的顶面,但并非总是如此,比如thermally tabbed package,Case(外壳)是指底部tab,tab在使用时焊接在电路板上。

θJCx 命名法用于避免与 θJC 相关的混淆,θJC 的case可能是顶部表面或底部表面。
2、芯片热参数- θJA与θJMA
(1)定义:对流换热热阻θJA与θJMA是指芯片Junction到环境空气,或者Junction到流动空气的热阻值。
(2)用途:在测试条件相同的情况下,θJA与θJMA可用于比较不同封装的热性能。
(3)测试方法:
θJA 是在 [JESD51-2] 中所述的 1 立方英尺密封外壳中测量的自然对流Junction到环境空气的热阻(必须注明使用的电路板类型)。

P 是芯片中耗散的总功率(热量)
θJMA是使用 1s 板(除非另有说明)在风洞中测量的强制对流Junction与移动空气的热阻,如 [JESD51-6] 中所述。该方程与 θJA 的方程相同,但结果报告为空气速度的函数。

θJA 和 θJMA 值有时用于评估一个封装在特定应用中的性能。这些评估不准确,因为标准化的测试条件无法与用户的应用条件匹配。
系统空气温度测量与 θJA和 θJMA值的组合不能用于验证是否满足元件结温规格。
概念理解要正确:将θJMA表示为θJA来代替,容易造成不必要的混淆,如θJA VS. Velocity其实是不对的。θJMA 值,如果使用 1s 单层板,该值将接近在一立方英尺外壳中测得的 θJA 值,并且该板水平安装在水平风洞中,且风洞的横截面接近 305 毫米 x 305 毫米(1 英尺乘 1 英尺)。
下图显示了测试板及芯片布局数量对的θJMA 影响(测试条件:每个封装功率为 1 W,θJMA 风洞速度为 0 m/s),可以看出印刷电路板设计及芯片数量对θJMA影响较大。 2s2p 和 1s 测试板上的单个元件测试数据。图 6b 显示了两个仿真应用的数据:一个电路板的一侧有 8 个封装,一个电路板两侧有 8 个封装(16 个封装)。

3、芯片热参数- θJC与θJB
传导热阻 θJCx (Theta-JCx) 和 θJB (Theta-JB) 是在几乎所有元件功率耗散流经封装顶部或底部的情况下测量的。这些值可能有助于对比封装,但测试条件通常与用户的应用程序不匹配。当器件产生的热量几乎都通过封装的Top面传递至散热器时,可以利用此θJCx进行评估,比如θJCtop。
θJCtop 和 θJB 电阻可用于双热阻紧凑型模型,如 JESD15-3所述。
θJCx是结到Case的热阻,其中top为top surface,bot为bottom surface,使用的表面通常是封装主要传热路径中的表面,一般情况下为top,但有时为bot,比如thermally tabbed package,the bottom tab在应用时焊接在电路板上。

P 是从结点流向“x”外壳表面的芯片功率(热量)的一部分。理想情况下,在 θJCx 测量期间,接近 100% 的功率从结点流向“x”外壳表面。
传导热阻θJB是结到板的热阻, TBoard 是使用 2s2p 板在元件引线上或附近测得的温度,如 [JESD51-8]所述,采用的为2S2P板的定义。对于引线封装,热电偶连接到引线脚上。对于面阵表面贴装封装,热电偶连接到距离封装体 1 mm 以内的电路板走线。

P 是从结点流向电路板的芯片功率(热量)的一部分。理想情况下,在使用[JESD51-8]中的测试夹具进行θJB测量时,接近100%的功率从结点流向电路板。电路板的导热系数会影响结果。
4、芯片热参数- ΨJT与ΨJB
热特性参数 ΨJT(Psi-JT) 和 ΨJB(Psi-JB) 由供应商在 θJA或 θJMA的相同时间和环境中进行测量。用户可以通过测量应用环境中的元件温度并使用适当的 Ψ 热特性参数,应用 Ψ (Psi) 方程来估计其应用中的元件结温。然后将该预估的结温与结温规格进行比较。需要进行元件功率估算。
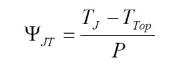
ΨJT是芯片Junction-to-top的热特性参数,其中TTop是封装顶部中心位置的温度。

P 是芯片耗散的总功率(热量)。热量可能会通过任何散热路径离开芯片,而不仅仅是封装的顶部。
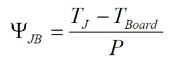
ΨJB 是结对板的热特性参数,其中 TBoard 是在元件引线上或附近测得的温度。

P 是芯片中耗散的总功率(热量)。热量可能会通过任何散热路径离开芯片,而不仅仅是电路板。
热特性参数不是热阻。这是因为在测量参数时,元件功率会通过多条路径流出元件。ΨJB 小于或近似等于 θJB。ΨJT 通常明显低于 θJCtop。例如,当 θJCtop 为 6°C/W 时,ΨJT 可能为 1°C/W。
一旦硬件确定,ΨJT或 ΨJB值就可以分别用于封装顶部或电路板温度测量,以提供良好的结温估计。当元件功率不精确时,使用ΨJT可能会提供更准确的 TJ估计。这是因为元件的顶面温度通常比电路板温度更接近结温。因此,ΨJT小于 ΨJB,绝对温度预测误差较小。
在系统中将 ΨJT 或 ΨJB 值与封装顶部或电路板温度测量一起使用需要良好的温度测量技术。对于顶部温度,建议使用 36 号 J 或 K 型热电偶或 40 号 T 型热电偶,用导热环氧树脂连接到封装顶面的中心。中心位置对于塑料封装尤为重要。电路板温度是使用焊接到引线脚上的 40 号热电偶测量的,引线连接到电路板上,位于封装的边缘,位于封装一侧的中心。对于面阵封装,热电偶焊接到距离封装体 1 mm 以内的电路板走线上。建议使用 T 型热电偶,因为它易于焊接。用导热粘合剂覆盖热电偶结点和大约 1 mm 的电线。
当存在散热器或辅助热扩展板时,ΨJT 和 ΨJB 都不能用于估计结温。可以使用 θJCtop 进行近似计算,在尽可能靠近封装界面的位置测量应用中的散热器温度,并考虑散热器到外壳界面上的温差。如果供应商提供结-散热器 ΨJS 热参数,在相同的散热器及界面材料条件下,可以更为准确地估算结温。
5、双热阻模型(two-resistor Compact models)
双热阻紧凑型模型是最简单的模型。θJCtop 和 θJB 放置在热阻网络中,双热阻紧凑型模型可用于手动计算或多种仿真模型,包括热阻网络求解器、基于传导的板级热仿真工具和计算流体动力学代码。
Junction节点通过 θJCtop 连接到顶部外壳节点,通过 θJB 连接到板节点。对于设计为将热量直接注入电路板地层的封装,例如外露tab封装,用户可以考虑将 θJB 替换为 θJCbottom。

虽然双热阻模型的简单性和直观性很有吸引力,但精度仍然是一个问题。用户应谨慎使用双热阻模型数据来预测封装温度,在实际应用中需要实践和考虑。










