由中国热管理网发布的《热管理软件V2.1》计算工具,包含密封自然散热计算、非密封自然散热计算、流体计算、流速流量转换、噪音计算、风扇与转速关系计算、界面材料计算、热流/功率密度计算、自然对流换热系数计算、散热器计算等9种计算工具。
单位转换模块可以进行各种单位转换,内置了压力、体积流量、质量流量、传热系数、导热系数、热流密度、比热容、动力粘度、运动粘度等基础热管理单位。
另外软件还带有材料库功能,包括 固体材料、液体材料、气体材料、公共风扇库、自定义风扇库等功能。
软件还在逐渐更新中,欢迎大家下载使用。
热管理计算工具软件是散热设计工程师的必备软件,是散热工程师的小帮手。
软件主界面
今天介绍一下热管理软件中自然对流换热系数计算,软件中可以计算,水平板、竖平板、水平圆柱、球体、水平同心圆柱体等对流换热计算
一、 水平板对流换热计算
1、 基础数据:需要输入平板的长宽,和环境,流体物性参数

2、 计算中间数据:

3、 计算公式:
特征尺寸:L=A/P=W*L/2(W+L) 温差ΔT= 表面温度Tw-环境温度Ta
定性温度Tf=(表面温度Tw-环境温度Ta)/2


4、 输出结果:

水平板面朝上:
Nu = 0.54 Ra1/4 ( 104 < Ra < 107 )
Nu = 0.15 Ra1/3 ( 107 < Ra < 1011 )
水平板面朝下:
Nu = 0.27 Ra1/4 ( 105 < Ra < 1010 )
根据努塞尔数, 瑞利数的范围,计算出对流换热系数h,水来板对流换热计算,可以计算热面朝上和热面朝下两种情况。
右侧可以根据对流换热,和辐射换热公式,计算解热量。
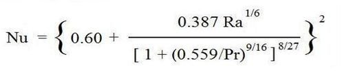
二、 竖平板对流换热计算
1、 基础数据:比水平板多了倾斜角度(0-60度),另外平板宽度可选,计算换热时才需要。
2、 中间数据计算:
特征尺寸:L就是高度尺寸
格拉晓夫数有两种情况:

3、 计算公式和输出结果:

条件1,瑞利数Ra≤109 ,层流时公式:

条件2,瑞利数104<Ra≤109 ,公式 Nu = 0.59 Ra0.25

也可参参考如下公式,适用所有Ra范围,软件中并使用:

三、 水平圆柱对流换热计算
特征尺寸:L就是圆柱直径,其它都同前面
瑞利数10-5<Ra≤1012 时,公式:

四、球体对流换热计算
特征尺寸:L就是圆球直径,其它都同前面
瑞利数Ra≤1011 ,Pr>0.7时,公式:

五、 水平同心圆柱体对流换热计算
特征尺寸:L就是外圆/内圆直径平均值,(Do-Di)/2,其它都同前面
瑞利数Ra≤1012 时,公式:

相关文档:











