由中国热管理网发布的《热管理软件V2.1》计算工具,包含密封自然散热计算、非密封自然散热计算、流体计算、流速流量转换、噪音计算、风扇与转速关系计算、界面材料计算、热流/功率密度计算、自然对流换热系数计算、散热器计算等9种计算工具。
单位转换模块可以进行各种单位转换,内置了压力、体积流量、质量流量、传热系数、导热系数、热流密度、比热容、动力粘度、运动粘度等基础热管理单位。
另外软件还带有材料库功能,包括 固体材料、液体材料、气体材料、公共风扇库、自定义风扇库等功能。
软件还在逐渐更新中,欢迎大家下载使用。
热管理计算工具软件是散热设计工程师的必备软件,是散热工程师的小帮手。
软件主界面
今天介绍一下热管理软件中散热器计算功能

散热器计算界面
散热器计算主要有最优片距计算、 翅片与散热器的效率与功效计算、散热器热阻计算三部分功能
一、 散热器基础数据计算
1、散热器输入参数:
散热器长L(气流方向), 散热器宽W, 散热器齿高b, 基板厚tB, 齿厚t, 齿数Nf, 散热器导热系数λhs, 板温度Tp
2、流体输入参数:
流体输入参数: 比热Cp, 密度ρ, 环境温度Ta, 膨胀系数β, 空气质量流量m,风速v, 导热系数λair, 动态粘度(平均温度下流体)uf, 动态粘度(对应壁面温度下) uw,
3、热源参数: 长度SL,宽度
4、基本计算:
| 名称 | 符号 | 名称 | 符号 |
| 横截面面积 | Ac | 翅基面积 | Ab |
| 横截面周长 | P | 齿间距 | S |
| 翅片修正长度 | Lc | 翅片总散热面积 | Af |
| 散热器基板面积 | Ahsb | 未被翅片覆盖的基板面积 | Aunfinned |
| 散热器总散热面积 | At | 水力直径 | DL |
以上是一些基础数据及计算公式,可以参考《传热学_电力电子器件热管理(美)》Younes Shabany对应页面

二、散热器最优片距计算
1、自然散热最优片距

2、强迫对流最优片距

三、翅片与散热器的效率与功效计算
1、自然散热Nu和h计算:翅片水平C=0.54,N=0.25,翅片垂直C=0.59,N=0.25

2、强迫对流Nu和h计算

3、结果计算

公式出处:翅片效率P114(7-46),翅片功效P114(7-50),散热器效率P121(7-71),散热器功效P122(7-72)
四、散热器热阻计算
散热器总热阻等于对流辐射热阻、基底导热热阻、基底扩散热阻和热量热阻之和:

1、 对流辐射热阻Rhs,cr

来源见书P123页,也可以参考下列公式:

2、 基底导热热阻Rhs,b

其中tb基板厚度,K是散热器导热系数,Ahsb(书P123页是WH)是基板面积
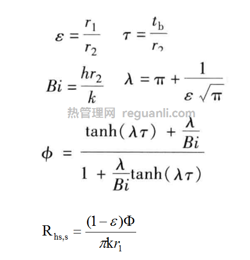
3、 基底扩散热阻Rhs,s


基底扩散热阻Rhs,s中间无量纲数,及其它相关公式见书P123页
4、 热量热阻Rhs,c

其中:m为流经散热器的质量流量kg/s, Cp流体比热容J/Kg℃
相关文档:












感谢支持。
太好了